

Able to hold over 600 times its own weight in water it intensely hydrate the skin and is known for its skin rejuvenation properties.
Binds with water to intensely hydrate the skin. Research suggests that enhanced hyaluronic acid levels will also increase collagen production.
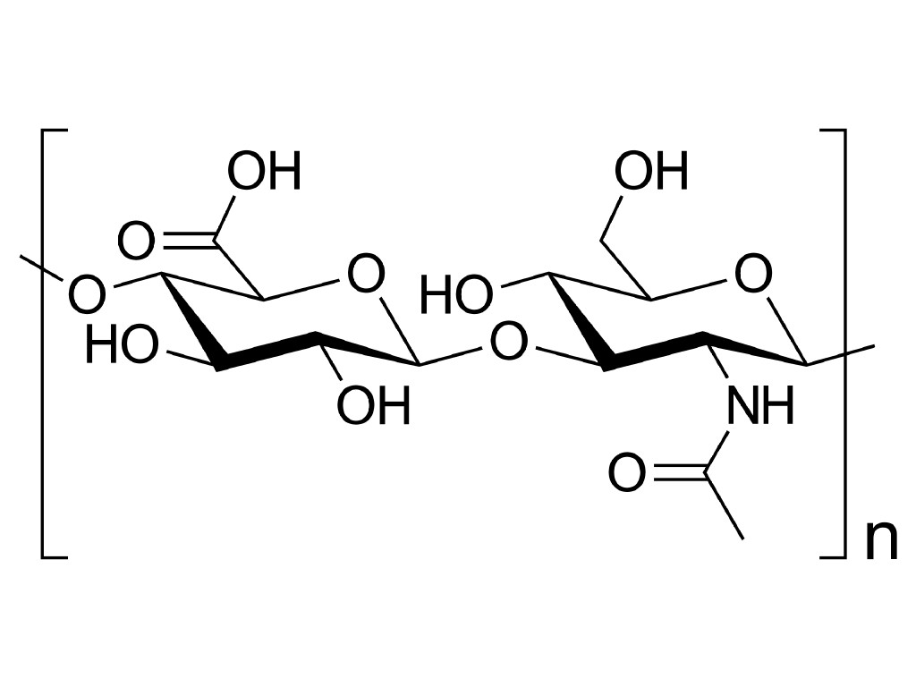
Also known as Hyaluronan, Hyaluronic Acid is actually a salt rather than an acid. According to Cosing, it has properties of Antistatic, Humectant, Moisturising and Skin Conditioning.
No known allergens
Suitable for all skin types
More commonly referred to in medical texts as Hyaluronan because it is a salt rather than an acid, it was first developed in the 1970’s for use in eye surgery.
| Scientific Articles |
|---|
